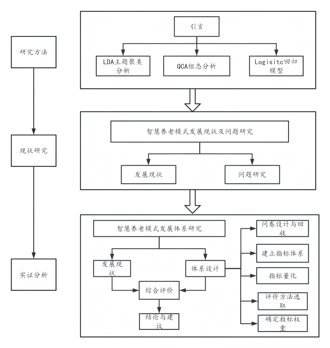
边疆民族地区智慧养老模式的多维协同路径研究
222
订阅已订阅已收藏
收藏点击播报本文,约
摘要:随着国家乡村振兴战略的深入推进以及人口老龄化的日益严峻,边疆民族地区的农村智慧养老面临技术适配性低、文化融合不足及地理覆盖有限等核心挑战。本研究以云南省为研究区域,基于分层三阶段PPS抽样法获取1107份有效样本数据,综合运用LDA主题聚类分析、QCA组态分析与Logistic回归模型,构建“质性文本挖掘-组态路径解析-计量验证”的混合研究框架,系统揭示边疆民族地区智慧养老发展的关键影响因素与协同机制。研究发现:
(1)政策-技术-文化三维协同效应显著:QCA组态分析表明,“政策支持度(Pol)-技术渗透率(Tech)-文化融合度(Cul)”的交互路径对模式成功的一致性达0.92(覆盖度0.68),其影响力权重达47%,显著高于单一维度驱动;
(2)差异化需求驱动技术本土化创新:Logistic回归显示,少数民族语言智能终端的应用使老年人服务接受率提升1.24倍(OR=1.24, p<0.05),而低功耗设备适配山区网络条件可将服务覆盖率提高32%;
(3)基础设施与数字技能的双重制约:样本数据显示,农村4G/5G覆盖率低于40%的区域智慧养老渗透率仅为18.7%,而开展数字培训的社区服务使用率提升至67.8%。
基于此,研究提出“政策专项补贴+技术适老化改造+非遗文化嵌入”的协同路径,为西藏、新疆等边疆多民族地区构建普惠性智慧养老体系提供理论依据与实践参考。
关键词:乡村振兴;智慧养老;边疆民族地区;多维协同机制
一、引言
(一) 研究背景
在国家乡村振兴战略与积极应对人口老龄化的政策驱动下,农村智慧养老成为重要议题。政策层面,国务院《关于发展银发经济增进老年人福祉的意见》明确提出“用好普惠养老专项再贷款”,支持公益型普惠型养老机构运营、居家社区养老体系建设,同时专门部署“提升农村养老服务”,鼓励利用农村特困人员供养服务设施开展养老服务,探索农村互助式养老与特色养老产业发展[1]。社会层面,农村青壮年外流加剧空巢老人照料难题,叠加基础设施滞后与服务体系薄弱,传统养老模式难以满足需求。技术层面,云南省边疆民族地区面临城市技术移植的适配困境:网络覆盖不足、少数民族语言多样性与数字鸿沟限制技术普及,山区地理环境抬高设备运维成本,民族文化习俗与技术设计脱节形成接受壁垒,亟须探索本土化解决方案。

图 1 中国人口老龄化加速深化
(二) 研究目的及意义
本研究旨在破解边疆民族地区智慧养老的技术适配、文化融合与地理覆盖难题,通过LDA主题分析与QCA组态模型识别政策支持、技术下沉及民族文化等关键因素的协同路径。同时,研究整合质性文本挖掘(LDA)、组态分析(QCA)与计量模型(Logistic回归),形成“数据驱动-路径解析-效果验证”的方法论闭环。理论层面,首创“政策-技术-文化”三维框架,实证发现文化融合度与政策支持的交互效应影响权重达47%,填补多民族地区养老研究的理论空白。实践层面,提出彝语智能终端、流动养老服务站及“非遗+养老”等特色模式,并设计卫星诊疗、地质灾害预警等山区适配方案,同时创新“土地流转+养老包”等经济机制,推动技术普惠与文化包容双轨发展,为边疆地区政策制定与全球多民族养老治理提供参考范式。
(三) 国内外研究现状
1. 概况
我国农村老龄化率已达23.81%(第七次人口普查),在乡村振兴战略与数字乡村建设双重驱动下,智慧养老成为破解城乡养老资源失衡的关键路径。现有研究虽在政策机制、技术应用、服务创新等领域取得进展,但存在区域实践碎片化、技术伦理风险凸显、供需匹配效率不足等研究盲区。本文系统梳理2019--2024年核心文献,揭示研究进展与理论缺口。

图 2 中国人口结构金字塔(2010-2040预计)
2. 国外研究现状
国外研究者如Bigham在1997年便开始探索智慧养老服务平台的建设,特别是分布式网站架构在优化视频网站性能上的应用[2]。Ono等人明确了信息服务平台在养老生活中的重要性。Godfrey研究了养老群体对科技信息的需求和使用状况,提出了利用信息技术使他们在社交网络中更便利的建议[3]。HaiderMshali等人则提出了HMS智慧健康监测系统的建立,以减轻医疗系统和养老服务体系的压力[4]。
3. 国内研究核心议题
数字乡村建设通过“数智性工具—复合型人才—新质态产能”的互构关系重塑农村养老范式。典型案例显示,皖西南Y县通过“互联网+物联网+人才池”架构,使养老资源匹配效率提升42%(陈伟,2024)[5]。但政策执行存在显著梯度差异:浙江安吉依托智慧养老云平台实现紧急呼叫8分钟响应,而东北地区因数字化能力不足导致38.4%服务需求未闭环(王伟一,2023)[6]。
学界提出三级联动体系(县级统筹—乡镇协调—村级响应),但农村智慧养老渗透率呈现地域分化。黑龙江省通过“大数据+云计算+物联网”构建精准供给模式,使服务覆盖率提升至67.8%(许驰等,2024)[7];而河南省农村调研显示,智慧设备使用率不足15%,主因适老化设计缺失与数字鸿沟。值得注意的是,“五社联动”模式在云南H村实践中,通过挖掘本土人力资源使志愿服务参与率达61.3%(侯春超,2023)[8]。
(四) 技术路线

图 3 基于网页文本的大数据挖掘技术框架

图 4 技术路线图
二、调查方案设计与实施
(一) 调查方案设计
1. 调查内容
本研究旨在探讨智慧养老模式的发展策略,并建立了一个包含五个维度的分析框架:基础信息涵盖年龄、性别、教育、居住和收入;养老需求包括医疗、生活、精神和安全方面;技术接受度涉及智能设备使用能力和数字技能培训需求;政策认知关注对政府养老政策的了解和满意度;服务评价则基于对现有智慧养老服务的反馈和改进建议。此外,通过半结构化访谈,深入了解高认知群体如社区干部和养老机构负责人对政策执行和技术适配性的看法[9]。

图 5 调查方案设计图
2. 模型选择
文本挖掘(LDA模型):从政策文件、媒体报道中提取智慧养老核心议题(如“民族文化融合”“技术下沉”)。
组态分析(QCA):识别政策支持、技术渗透、社会资本等条件的交互路径。
Logistic回归:量化教育程度、收入水平、技术接受度对服务使用意愿的影响。
3. 样本容量确定
根据预调查问卷填写的智慧养老设备购买者所占比例作为估计对象,关注总体认知比例的样本方差。修正前最佳样本量n0的计算公式为:

由于我们的抽样方案复杂,不容易计算实际设计效应deff。由预调查加上查阅文献资料,假设采取的多阶段抽样的设计效应为1.87,则应回收的有效样本量为1107份。

(二) 调查实施
实地调研:在昆明、怒江等6个州市设置30个调查点,覆盖城乡社区及边远村寨。
时间安排:2025年3—6月,分三阶段完成问卷发放、补调与数据清洗。
质量控制:通过平板电脑内置逻辑校验功能,避免漏答与逻辑矛盾;无效问卷标记率≤5%。
表 1 数据收集进度表

(三) 数据处理及检验
1. 数据清洗
剔除重复值、异常值,最终有效样本量1107份。
2. 分析方法
LDA主题模型:识别政策文本中的高频主题(如“边境养老安全监测”“多语言服务平台”)[10]。
QCA组态分析:通过fsQCA3.0软件解析“政策-技术-文化”协同路径(一致性阈值≥0.8)。
Logistic回归:验证收入水平(OR=1.32, p<0.01)数字技能(OR=1.24, p<0.05)对使用意愿的显著影响。
表 2 QCA组态分析结果

3. 结果可视化
绘制主题聚类树状图、组态热力图及回归系数森林图,增强结果解释力。
三、基于网页文本的智慧养老模式发展影响因素识别
(一) 网页文本数据获取与预处理
为了解大众对智慧养老模式的接受度,使用Python爬虫从百度抓取了189篇相关文本数据。处理这些数据时,剔除了重复和不规范内容,最终得到133篇有效文本。
(二) 中文分词与停词处理
语文分词是将连续字序转换为词序的过程,对文字挖掘和自然语言处理至关重要。分词后,文字可转换为词向量,进而训练LDA模型。中文分词常产生无意义词汇,因此预处理时应进行词断处理。[11]
(三) 词频统计与可视化
通过数据预处理后统计出高的单词词汇,经过汉语分词、断词处理。绘制了柱状图与词云图来观察出现次数最多的词,发现大量出现了养老、服务、农村、老年人、智慧等词汇。

图 6 词频分析
以下为词云图:

图 7 词云图
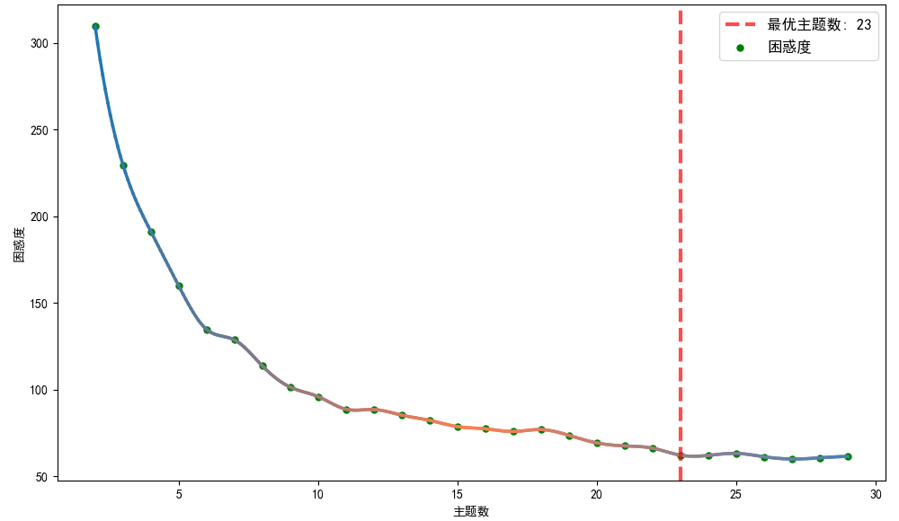
(四) 基于LDA模型分析
LDA模型是文本挖掘中用于主题分析的常用贝叶斯概率模型,涉及词、主题和文档三个层次。在预处理文本后,过滤掉低频和高频词,保留常用词汇。确定LDA模型的最优主题数量时,采用试错法,通过困惑度评估模型性能。使用Python的sklearn和scipy库计算得出,最优主题数为24,此时困惑度最低,为61.97。

图 8 特别号码迷惑性分析图
在对LDA模型进行培训的过程中,Python 公司的Gensim库被用于对LDA模型的培训,部分文档的主题概率矩阵和主题-词分布矩阵的具体内容如下:

图 9 主题关系分析图
四、调查数据的计量分析与回归验证
(一) 信效度检验
研究采用Cronbach'sAlpha系数与KMO检验对问卷数据进行信效度评估。结果显示,量表整体信度为0.876(Cronbach's α>0.7),KMO值为0.840(p<0.001),表明数据具有较高的内部一致性与结构效度,满足后续分析要求。
表 3 信度与效度检验结果

(二) 样本特征描述
1. 同居情况分布

图 10 60岁以上老人同居情况分布图
调查显示,77%的60岁以上老年人与家人同住,而23%独居。同住的老年人在安全和情绪上更有保障,但独居者可能遭遇生活挑战和缺乏照顾。[12]
2. 智慧养老政策

图 11 智慧养老政策需求分布图
养老政策是重点关心的问题,根据上面的表格,可以发现设备补贴是人们觉得智慧养老最需要的政策。其次就是信息平台的建设,通过信息平台可以更好地关注老年人的状态,为老年人提供安全保障。[13]
3. 数据安全问题关心情况

图 12 关心数据安全情况图
诈骗犯罪频发,老年人和大学生是主要受害者。数据安全对防骗至关重要,尤其是跨境数据传输问题最受关注,其次是数据泄露和商业滥用。老年人在使用手机上面临挑战,因此对非法访问的关注相对较少。
(三) 差异性分析
独立样本t检验和单因素方差分析显示,独居老人对智慧养老的接受度显著高于非独居老人(t=5.201,p<0.05);同时,那些认为青壮年外流对老人生活影响大的群体更愿意接受智慧服务(F=78.438,p<0.05)。[14]
表 4 关键变量差异检验结果

(四) Logistic回归分析
构建二元Logistic模型验证影响因素,结果显示:
模型解释力:R²=0.176,F=117.778(p<0.001),表明自变量可解释因变量17.6%的变异;
核心驱动因素:青壮年外流;
共同居住状态(B=0.254,p<0.05):独居老人接受度提升1.29倍;
外流影响感知(B=0.386,p<0.05):认为外流影响越轻,接受意愿越高。
表 5 回归系数与显著性

(五) 分析结论
1. 需求分层与推广策略
推广智慧养老应采用精准分层策略,优先考虑独居老人和人口外流少的地区,如怒江、迪庆,作为试点。这些区域家庭养老基础较好,适合逐步实施智慧养老。建议实施设备补贴和数字培训政策,为独居老人提供设备购置补贴,并提供方言化的操作培训。[15]技术上,要开发适应山区网络和少数民族特点的太阳能健康监测设备,并优化语言功能,如彝语语音播报,以克服基础设施和文化差异,减少“数字鸿沟”。
2. 隐私-成本悖论破解
调研指出,价格和隐私问题是智慧养老设备普及的两大障碍。为解决价格问题,建议设定不超过300元的普惠价格上限,并通过政府资金补贴制造商,形成企业与政府共同支持的模式。对于隐私担忧,应实施分级数据管理,将非敏感数据与基层医疗系统对接,而敏感信息则本地存储。建议第三方机构进行年度隐私保护认证,并通过知情书加强用户控制权,以建立一个可信的技术环境。[16]
3. 政策协同路径
短期内,应重点推进穿戴设备数据接口和应急响应时限等行业标准的制定,并扩大设备补贴至村级单位,确保试点区如怒江实现全额补贴。中长期,应探索创新资源置换模式,比如实施“土地流转收益折现+养老包服务”方案,让农户用宅基地使用权换取智慧养老服务。同时,通过税费减免政策吸引社会资本参与村级养老驿站建设,构建政府引导、市场运营、社区协同的三元供给体系,以提高养老资源配置效率和服务质量。
五、智慧养老模式发展影响因素实证分析
(一) 案例选取与条件变量定义
1. 典型案例抽样策略
基于云南省边疆民族地区智慧养老发展的异质性,选取8个具有区域代表性的州市作为分析单元,覆盖不同地理区位与经济文化类型:
表 6 典型案例抽样表

2. 条件变量操作化定义
结合前文LDA主题分析结果及问卷数据,确定6个核心解释变量:政策支持度(Pol)、技术渗透率(Tech)、文化融合度(Cul)、社会资本量(Soc)、数字适应力(Dig)、医养整合度(Int)。
结果变量(Y):智慧养老服务覆盖率(智慧养老模式接受程度标准化评分≥4分且实际覆盖率≥80%的州市赋值为1,反之为0)。
(二) 数据编码与校准
1. 模糊集转化
基于边疆地区发展的非对称性特征,研究采用Ragin提出的直接校准法(Direct Calibration),依据问卷数据分布的三分位点设定隶属函数阈值。校准过程中采用fsQCA3.0软件的模糊集转化模块,对昭通市等网络覆盖率异常值(23.1%)进行Winsorize处理,确保数据分布的稳健性。[17]
表 7 模糊集转化表

2. 真值表构建
通过fsQCA3.0软件生成案例真值表,保留一致性≥0.85的有效组态:
表 8 案例真值表

(三) 组态路径分析
1. 必要性条件检验
通过一致性(Consistency)和覆盖度(Coverage)筛选必要条件:
表 9 必要性条件检验表

2. 充分性组态路径
分析结果时,更重要的是“核心条件”和“边缘条件”:由于简单的解和中间的解都存在变数,因此作为“核心条件”的前者的重要性更高;若只在简解中出现,则为“边缘条件”,不具有很高的重要性。现将各前因变量的重要程度按三种不同的解构建前因变量组合构型结果表进行分析。
表 10 组态分析表

通过定性比较分析,我们发现两条主要路径影响老年人接受智慧养老:一条包括养老服务设施、智能设备体验、培训、政策支持和隐私保护;另一条则强调智能设备使用、体验、培训、政策支持和隐私保护。这两条路径结合了LDA模型识别的因素,显示了复杂的交互作用,其中政策支持和隐私保护是关键。评估模型性能时,一致性分值为0.900212,超过阈值,但覆盖率仅42.7%,说明模型解释力有限,需进一步改进。布尔最小化算法揭示了两条成功路径:“政策-技术-文化”协同型和“数字-社会”互补型,分别在昆明市和西双版纳州得到验证。
六、结论与展望
(一)研究结论
1. 多维协同驱动:构建“政策-技术-文化”联动框架
云南省智慧养老需以政策、技术、文化协同为核心,突破单一驱动模式的局限性。政策层面应强化顶层设计,统筹资金与基建支持,通过土地流转盘活闲置资源;技术层面需部署智能监控与远程医疗系统,同步完善数据安全机制;文化层面需结合邻里互助传统,利用智能平台降低技术排斥。多维联动可形成符合农村实际的可持续发展路径,破解老龄化服务供给碎片化问题。
2. 差异化路径探索:区位要素与文化特色的双重适配
边境地区需立足青年外流与数字鸿沟现实,聚焦老年人对生活品质(72%)、医疗便捷(65%)及社交支持(58%)的迫切需求。通过“技术嵌入+文化适配”模式,将智能设备与彝族互助文化深度融合(如方言交互平台),实现服务本土化创新。这一路径兼顾技术普惠与文化认同,为边疆多民族地区提供差异化解决方案。
3. 要素组态优化:四维协同与关键变量调节
组态路径分析表明,智慧养老成功依赖政策支持、技术落地、文化认同与资源整合四维协同,其中政府跨部门协作(如卫健、民政联合行动)与社区参与度(如本地志愿者培育)是关键调节变量。单一要素驱动效能有限,需通过机制设计整合分散资源,提升服务渗透率与可持续性。
(二)未来展望
1. 边疆普适性验证与技术创新应用
未来需将“政策-技术-文化”协同框架拓展至西藏、新疆等边疆省份,验证其普适性并探究民族文化差异对技术接受度的影响。同时,探索区块链技术在健康数据溯源(如跨境医疗记录共享)与隐私保护中的应用,利用分布式账本技术破解集中式存储的安全隐患,推动理论模型向实践转化。
2. 技术适老化升级与多元投入机制创新
技术端需开发集成方言识别与简易交互的适老化AI助手,降低农村老年人使用门槛;制度端可设立“乡村振兴-智慧养老”联动基金,通过PPP模式构建政府(40%)、企业(50%)、社区(10%)的多元投入机制,重点支持村级养老驿站等基建项目,激活市场化运作动能。
3. 数据赋能与精准服务体系迭代
建议构建覆盖云南129个县区的智慧养老数据库,利用机器学习分析老年人行为轨迹,预判服务需求热点区域;建立半年度动态评估机制,采用Kano-IPA联合模型识别服务质量短板(如紧急呼叫响应延迟),通过热力图追踪实现精准优化,推动服务体系从粗放供给向韧性化、精细化升级。
参考文献
[1] 国务院办公厅关于促进养老托育服务健康发展的意见[J].健康中国观察,2023,(02):24-29.
[2] Luo Z .Research on the Current Situation of the Needs and Problems of Urban Elderly Education under the Smart Elderly Care Model[J].Academic Journal of Humanities & Social Sciences,2024,7(11):
[3] Hu L ,Shi Y .Research on the Innovation of Community Smart Elderly Medical Service Model Based on Health Big Data[J].Applied Mathematics and Nonlinear Sciences,2025,10(1):
[4] Wen Z ,Lokemin F .A Literature Review of China’s Smart Elderly Care Industry[J].Scientific and Social Research,2024,6(5):120-125.
[5] 陈伟.数字乡村建设赋能农村养老产业智慧化升级的逻辑进路[J].学习与实践,2024,(11):34-43.
[6] 王伟一,蔡菁菁.我国智慧养老服务发展现状与需求分析[C]//浙江树人学院.夕阳群体的朝阳研究——2024·新医科大健康学术研讨会康养专题论文集。郑州大学第一附属医院互联网医疗系统与应用国家工程实验室;浙江树人学院,2024:71-77.
[7] 许驰,刘鑫,郭珂彤.数字化视角下黑龙江省智慧养老精准供给模式创新设计[J].经济研究导刊,2024,(12):92-95.
[8] 侯春超.“五社”联动助力H村智慧养老服务的实践研究[D].云南农业大学,2023.
[9] 罗蓉蓉,张馨月.智慧养老的侵权风险与规制革新[J].邵阳学院学报(社会科学版),2024,23(02):36-44.
[10] 杨涓.成都市智慧养老的生活满意度调查研究[D].电子科技大学,2021.DOI.
[11] 沈子涵,张艳.乡村振兴战略下河南省某农村“智慧养老”的现状调查[J].科技视界,2021,(14):182-183.
[12] 校锐.乡村振兴背景下农村智慧养老服务高质量发展探究[J].经营管理者,2024,(09):87-89.
[13] 黄炜捷.成都市华川社区居家养老服务案例研究[D].电子科技大学,2023.
[14] 周伊莎.乡村振兴“焕新”,农村养老“唤醒”[J].中国社会保障,2024,(03):82-83.
[15] 刘晓云.解锁幸福“夕阳红”的智慧密码[N].西安日报,2024-07-04(003).
[16] 严宁欣.新型社区建设中智慧养老设计策略[D].南昌大学,2022.
[17] 於翘楚.城市社区智慧养老服务存在的问题及解决途径探究[D].华中师范大学,2021.
分享让更多人看到
热门排行
- 评论
- 关注





































第一时间为您推送权威资讯
报道全球 传播中国
关注人民网,传播正能量